반응형
문제 설명
n개의 노드가 있는 그래프가 있습니다. 각 노드는 1부터 n까지 번호가 적혀있습니다. 1번 노드에서 가장 멀리 떨어진 노드의 갯수를 구하려고 합니다. 가장 멀리 떨어진 노드란 최단경로로 이동했을 때 간선의 개수가 가장 많은 노드들을 의미합니다.
노드의 개수 n, 간선에 대한 정보가 담긴 2차원 배열 vertex가 매개변수로 주어질 때, 1번 노드로부터 가장 멀리 떨어진 노드가 몇 개인지를 return 하도록 solution 함수를 작성해주세요.
제한사항
- 노드의 개수 n은 2 이상 20,000 이하입니다.
- 간선은 양방향이며 총 1개 이상 50,000개 이하의 간선이 있습니다.
- vertex 배열 각 행 [a, b]는 a번 노드와 b번 노드 사이에 간선이 있다는 의미입니다.
입출력 예
nvertexreturn
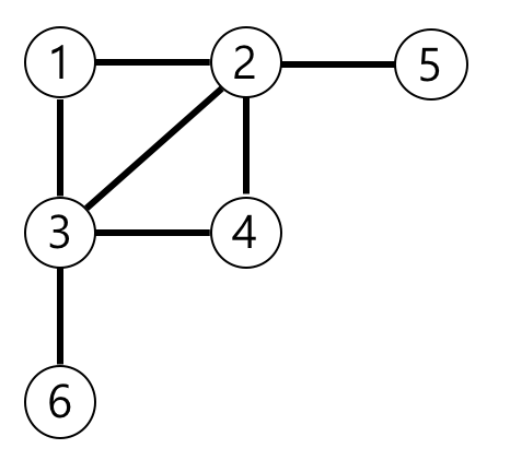
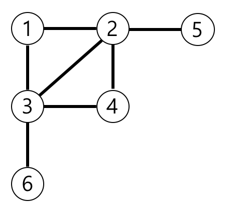
| 6 | [[3, 6], [4, 3], [3, 2], [1, 3], [1, 2], [2, 4], [5, 2]] | 3 |
입출력 예 설명
예제의 그래프를 표현하면 아래 그림과 같고, 1번 노드에서 가장 멀리 떨어진 노드는 4,5,6번 노드입니다.

최소 경로 BFS
import java.util.*;
class Node
{
int idx;
int cost;
public Node(int idx, int cost)
{
this.idx = idx;
this.cost = cost;
}
}
class Solution {
ArrayList<Integer>[] arr = new ArrayList[20001];
int[] visit = new int[20001];
int[] cont = new int[20001];
public int solution(int n, int[][] edge) {
int answer = 0;
for(int i = 1; i <= n; i++)
{
arr[i] = new ArrayList<Integer>();
visit[i] = 0;
}
for(int i = 0; i < edge.length; i++)
{
arr[edge[i][0]].add(edge[i][1]);
arr[edge[i][1]].add(edge[i][0]);
}
Queue<Node> que = new LinkedList<>();
visit[1] = 1;
que.add(new Node(1,0));
while(!que.isEmpty())
{
Node node = que.poll();
int cur = node.idx;
int cost = node.cost;
for(int i = 0; i < arr[cur].size(); i++)
{
int next = arr[cur].get(i);
int next_cost = cost + 1;
if(visit[next] == 0)
{
visit[next] = 1;
cont[next] = next_cost;
que.add(new Node(next,next_cost));
}
}
}
int maxa = 0;
for(int i = 1; i <= n; i++)
{
if(maxa <= cont[i])
{
if(maxa == cont[i])
{
answer++;
continue;
}
else
{
maxa = cont[i];
answer = 1;
}
}
}
return answer;
}
}반응형
'Algorithm' 카테고리의 다른 글
| [세그먼트 트리 단계] 백준 1517번 버블 소트 (0) | 2020.10.16 |
|---|---|
| [세그먼트 트리 단계] 백준 11659번 구간 합 구하기 4 (0) | 2020.10.16 |
| [위상정렬 단계] 백준 3665번 최종 순위 (0) | 2020.10.15 |
| [위상정렬 단계] 백준 1005번 ACM Craft (0) | 2020.10.15 |
| [위상정렬 단계] 백준 1766번 문제집 (0) | 2020.10.15 |