반응형
문제
이진 트리를 입력받아 전위 순회(preorder traversal), 중위 순회(inorder traversal), 후위 순회(postorder traversal)한 결과를 출력하는 프로그램을 작성하시오.

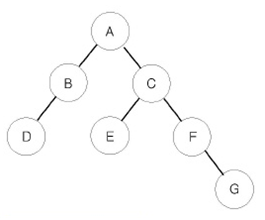
예를 들어 위와 같은 이진 트리가 입력되면,
- 전위 순회한 결과 : ABDCEFG // (루트) (왼쪽 자식) (오른쪽 자식)
- 중위 순회한 결과 : DBAECFG // (왼쪽 자식) (루트) (오른쪽 자식)
- 후위 순회한 결과 : DBEGFCA // (왼쪽 자식) (오른쪽 자식) (루트)
가 된다.
입력
첫째 줄에는 이진 트리의 노드의 개수 N(1≤N≤26)이 주어진다. 둘째 줄부터 N개의 줄에 걸쳐 각 노드와 그의 왼쪽 자식 노드, 오른쪽 자식 노드가 주어진다. 노드의 이름은 A부터 차례대로 영문자 대문자로 매겨지며, 항상 A가 루트 노드가 된다. 자식 노드가 없는 경우에는 .으로 표현된다.
출력
첫째 줄에 전위 순회, 둘째 줄에 중위 순회, 셋째 줄에 후위 순회한 결과를 출력한다. 각 줄에 N개의 알파벳을 공백 없이 출력하면 된다.
단순히 left right 재귀를 먼저 출력하고 le,ri
le , 출력 ,ri
le , ri, 출력
으로 구분짓는 것으로 구현 가능.
#include <iostream>
#include <vector>
#include<string.h>
#include<queue>
#include <string>
#include<stack>
#include<cmath>
#include <map>
#include<algorithm>
using namespace std;
vector<vector<char>> tree;
void preDFS(char cur)
{
if (cur == '.')
{
return;
}
char left = tree[cur - 'A'][0];
char right = tree[cur - 'A'][1];
cout << cur;
preDFS(left);
preDFS(right);
}
void midDFS(char cur)
{
if (cur == '.')
{
return;
}
char left = tree[cur - 'A'][0];
char right = tree[cur - 'A'][1];
midDFS(left);
cout << cur;
midDFS(right);
}
void pstDFS(char cur)
{
if (cur == '.')
{
return;
}
char left = tree[cur - 'A'][0];
char right = tree[cur - 'A'][1];
pstDFS(left);
pstDFS(right);
cout << cur;
}
int main() {
int N;
cin >> N;
tree = vector<vector<char>>(N, vector<char>());
for (int i = 0; i < N; i++)
{
char a, b, c;
cin >> a >> b >> c;
tree[a - 'A'].push_back(b);
tree[a - 'A'].push_back(c);
}
preDFS('A');
cout << "\n";
midDFS('A');
cout << "\n";
pstDFS('A');
cout << "\n";
}
반응형
'Algorithm' 카테고리의 다른 글
| [트리 단계] 백준 2263번 트리의 순회 (0) | 2020.10.07 |
|---|---|
| [트리 단계] 백준 5639번 이진 검색 트리 (0) | 2020.10.07 |
| [트리 단계] 백준 1967번 트리의 지름 (0) | 2020.10.07 |
| [트리 단계] 백준 1167번 트리의 지름 (0) | 2020.10.07 |
| [트리 단계] 백준 11725번 트리의 부모 찾기 (0) | 2020.10.07 |